Roundup Ready technology incorporates genetic resistance to glyphosate into crops and it's an excellent tool for weed control. Initial screening in the early 2000s found good alfalfa crop safety, and many growers currently rely on glyphosate as the only herbicide. Although using the same herbicide over and over is not a good idea because it may accelerate herbicide resistance in weeds, Roundup Ready alfalfa has been successfully used with few to no concerns regarding crop safety. However, the combination of glyphosate and cold weather may cause crop injury, especially in certain regions.
The problem was first observed in 2014 by Steve Orloff, former UCCE farm advisor in Siskiyou County. A Roundup Ready alfalfa field showed injury after glyphosate application followed by a frost event. The main symptoms were plant stunting, chlorosis, and “shepherd's crook”, in which individual alfalfa stems curl over and die (Figures 1 and 2). Yield reductions were also observed for the first cutting. It was clear to Steve the injury was somehow related to the glyphosate application because a section of the field where the wheel line was sitting was not sprayed and it looked perfectly normal.

Interestingly, the injury seen was very similar to symptoms caused by frost and/or bacterial blight caused by Pseudomona syringae – a bacteria that is present everywhere. The bacteria can exacerbate frost damage due to its protein that mimics a crystalline structure and provides a starting point for ice formation, damaging the plant tissue and serving as an entrance port into the leaves and stems. Once into the plant tissue, colonization leads to infection and symptoms about 7-10 days after the frost event. Symptoms on stems start as water-soaked lesions that extend down one side. Leaves become water-soaked and often are twisted and deformed.
Steve was able to replicate the symptoms in field trials conducted in 2015, 2016, and 2017. The field trials showed yield reductions of up to 0.7 ton/acre in the first cutting in Scott Valley. Crop injury was not observed in a similar field trial conducted in 2014, probably because there was no frost event after glyphosate application. Similar impacts were observed in a trial in the intermountain region near Tulelake, CA; additional yield reductions were observed with higher glyphosate rates (Table 1).

Based on this work, a multi-year project started to investigate the effects of glyphosate rate and application timing during various seasons at 24 sites over five years, measuring the impact on alfalfa crop height and biomass yield. Results were published in the Agronomy Journal in 2023 (Loveland et al, 2023). All sites in this study were in the Intermountain West (California and Utah). Results showed that while summer glyphosate application did not injure alfalfa, spring applications reduced crop height at 76% of the sites and biomass at 62% of the sites. In sites where glyphosate application resulted in crop injury, low (22 oz/A) and high (44 oz/A) rates of glyphosate reduced yields by 0.24 ton/A and 0.47 ton/A, respectively. Data also show that the crop height at glyphosate application influenced the degree of injury (Figure 3), with greater yield reductions at 30 – 40 cm than at 5 to 10 cm height.

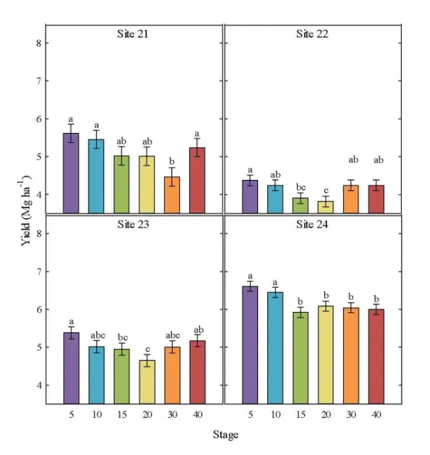
As alarming as the possibility of injury might sound, its occurrence and degree are widely variable, and most fields will resume normal growth and yields after first cutting. Figure 4 illustrates this complexity and variability throughout experimental sites where harvest yield and crop height were assessed. Note that the locations represented in the following graph are colder than the San Joaquin Valley and the injury happened after glyphosate applications in the spring.

As of 2024, this type of injury has only been reported in the intermountain west due to its high altitude and cooler weather. However, one field I visited in early February in Firebaugh brought my attention back to the issue. The field was planted in the fall of 2023 and had many of the symptoms described above: plant stunting, typical shepherd's crook, chlorosis, and dead stems. While all these symptoms could be exclusively due to bacterial blight infections or frost, parts of the field where glyphosate application was accidentally skipped looked better.
Current UC IPM weed management guidelines for RR alfalfa recommend rotating herbicides with different modes of action to reduce the development of herbicide resistant weeds and avoid glyphosate overuse during the colder winter months. Second, spray glyphosate when the alfalfa is short (< 2”) when using the higher rate (44oz/A) or 4” when spraying at the lower rate (22oz/A). Third, use the lowest glyphosate rate possible according to the weeds present and their stage of development. Finally, pay attention to the weather forecast. Applying glyphosate before frost events increases the likelihood of crop injury, especially in old stands.
Reference
Loveland, L.C., Orloff, S.B., Yost, M.A., Bohle, M., Galdi, G.C., Getts, T., Putnam, D.H., Ransom, C.V., Samac, D.A., Wilson, R., and Creech, J.E. (2023). Glyphosate-resistant alfalfa can exhibit injury after glyphosate application in the Intermountain West. Agronomy Journal, 115, 1827–1841. https://doi.org/10.1002/agj2.21352.