Irrigation is crucial for the production of melons in California. It facilitates seed germination, it is essential for crop growth and fruit production, and, for growers that apply pre-emergence herbicides, it is necessary for product activation.
Pre-plant irrigation (pre-irrigation) is used to develop an optimal planting bed for the crop, however, it can also stimulate weed seed germination. Knowing this, growers must be prepared to use pre-emergence (i.e. soil-applied, residual herbicides) or post-emergence (i.e. flaming, or foliar-applied herbicides) to reduce crop-weed competition. Early weed control is important; to maximize crop yields, young melons should remain weed-free for up to eight weeks.
The length of the interval between a pre-irrigation event and a pre-emergence herbicide application can significantly affect weed control. In 2013, our field site received irrigation 2-3 days before melon seeding. Residual herbicides were applied and then incorporated (with at least 0.5 inches of water) directly after crop planting. The timely activation of the residual products resulted in excellent weed (i.e. purslane and pigweed) control for up to six weeks (Figure 1).

Figure 1. Weed cover in melons in response to pre-emergence herbicides in 2013. Command (clomazone) = 0.5 pt/A, Curbit (ethalfluralin) and Strategy (clomazone + ethalfluralin) = 4 pt/A, Sandra (halosulfuron) = 1 oz/A, Dual Magnum (S-metolachlor) = 1.3 pt/A, Zeus (sulfentrazone) = 3.2 oz/A. NOTE: COMMAND, DUAL MAGNUM, STRATEGY and ZEUS are NOT LABELED for use in melons in California.
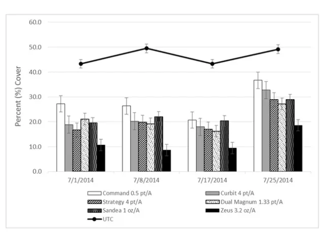
In 2014, melons plots were pre-irrigated 5-7 days before seeding. Similar to 2013, residual herbicides were applied and then incorporated directly after melon planting. The level of weed control observed in 2014 was significantly lower than what was observed in the preceding year (Figure 2). Reduced herbicide efficacy may have been due, in part, to the increase in elapsed time between pre-irrigation and herbicide application/activation.

Figure 2. Weed cover in melons in response to pre-emergence herbicides in 2014. Command (clomazone) = 0.5 pt/A, Curbit (ethalfluralin) and Strategy (clomazone + ethalfluralin) = 4 pt/A, Sandra (halosulfuron) = 1 oz/A, Dual Magnum (S-metolachlor) = 1.3 pt/A, Zeus (sulfentrazone) = 3.2 oz/A. NOTE: COMMAND, DUAL MAGNUM, STRATEGY and ZEUS are NOT LABELED for use in melons in California.
Pre-emergence herbicides are only active against newly germinated seedlings that that are emerging from/through the chemical barrier (top 1-3 inches of soil). In 2013, this barrier was established no later than 72 hours after the field soil was pre-irrigated; weed seedlings that were stimulated to germinate were susceptible to the residual products. In 2014, the herbicides were applied and activated up to 168 hours after the pre-irrigation event; by this time, many weeds were probably close to breaking through the soil surface and, therefore, less sensitive to some soil-applied products. In hindsight, the use of a post-plant, but pre-melon-emergence, burn-down treatment would have helped with season-long weed control in 2014.

Figure 3. Representation of weed seedling emergence at planting/PRE herbicide application in response to the timing of pre-irrigation events. Increasing the interval between pre-irrigation and residual herbicide application may result in less weed control as the emerging seedlings may become less sensitive to soil-applied products.
NOTE: THIS EXAMPLE IS FICTIONAL; WEED GERMINATION RATES WILL VARY DRAMATICALLY IN RESPONSE TO PHYSIOLOGICAL DORMANCY, SEED COAT THICKNESS, BURIAL DEPTH, TEMPERATURE, ETC., THE PURPOSE IS TO DEMONSTRATE HOW THE TIMING OF PRODUCTION OPERATIONS CAN INFLUENCE WEED CONTROL
Moral of the story? Apply and activate residual herbicides as soon as is reasonable after a pre-irrigation event. The longer you wait, the more likely it is that emerging weeds will be able to escape residual control measures. Weeds that do emerge should be managed so as to avoid crop injury (for example, herbicide contact with young seedlings) and to maximize the potential for control. Once a residual herbicide barrier is established, avoid disturbing it!